Home -- Symptoms -- Cycles -- Lyme Disease: Statistical Evaluation of a Symptom Log and an Empirical Theory of Flare Cycles
The following antibiotics were used:
The usual tests were done. 2 years after the start of the infection the person's health was mostly restored and there were no relapses as of day 3056 (= Jan 1, 2006, day 0 = beginning of the infection = August 18, 1997).
RESULTS
I. Introduction
II. Methods
III. Results of Statistical Evaluation
IV. Estimation of in vivo Borrelia burgdorferi Cell Cycle Length (Pharmakodynamics)
V. Compartment Model Displaying Symptom Cycles
VI. Conclusions
VII. References
VIII. Appendix
Acknowledgement
It has been observed that symptoms will flare in cycles every four weeks. .... If the antibiotics are working, over time these flares will lessen in severity and duration. The very occurrence of ongoing monthly cycles indicates that living organisms are still present and that antibiotics should be continued.
With treatment, these monthly symptom flares are exaggerated and presumably represent recurrent Herxheimer-like reactions as Bb enters its vulnerable growth phase. For unknown reasons, the worst occurs at the fourth week of treatment. Observation is that the more severe this reaction, the higher the germ load, and the more ill the patient. In those with long-standing highly symptomatic disease who are on I.V. therapy, the week-four flare can be very severe, similar to a serum sickness reaction, and be associated with transient leucopenia and/or elevations in liver enzymes. If this happens, decrease the dose temporarily, or interrupt treatment for several days, then resume with a lower dose. If you are able to continue or resume therapy, then patients dramatically improve. Those whose treatment is stopped and not restarted at this point usually will need retreatment in the future due to ongoing or recurrent symptoms. Patients on I.V. therapy who have a strong reaction at the fourth week will need to continue parenteral antibiotics for several months, for when this monthly reaction finally lessens in severity, then oral or IM medications can be substituted. Indeed, it is just this observation that guides the clinician in determining the endpoint of I.V. treatment. In general, I.V. therapy is given until there is a clear positive response, then treatment is changed to IM or po until free of signs of active infection for 4 to 8 weeks. Some patients, however, will not respond to IM or po treatment and I.V. therapy will have to be used throughout. As mentioned earlier, leucopenia may be a sign of persistent Ehrlichiosis, so be sure to look into this.
Repeated treatment failures should alert the clinician to the possibility of an otherwise inapparent immune deficiency, and a workup for this may be advised.
.... "
The goal of this publication is to support Burrascano's observations and guidelines with an analysis of a quantitative diary that carefully recorded symptom appearance over the period of more than one and a half year. The analysis includes
In Fig. VIII. 3 one can see that typical features of frequency plots are:
Applying the proposed statistical analysis to the following symptom log will reveal the presence of any of these symptom elements.
Towards the end of the antibiotic therapy the cephalosporine cefepime was used. Heinemann and Trautmann report in their overview article (Heinemann M and Trautmann M, 1999) that this cell wall antibiotic has been reported to produce cell wall deficient forms, such as Dr. Hulinska feels she has found in the patient's blood.
See also
This differential diagnostic map is composed of three columns:
This questionaire lists only the symptoms part of the Horowitz differential diagnostic map.
|
|
symptom |
| 1 | strong headache |
| 2 | physical exhaustion |
| 3 | sinus symptoms |
| 4 | pain within left eye |
| 5 | pain when moving eyeballs |
| 6 | reduced field of vision in left eye |
| 7 | light-hypersensitivity |
| 8 | tingling in eyes |
| 9 | brain lags behind in deciphering picture received on retina |
| 10 | twitching of muscles in face, eyelid |
| 11 | muscles in legs twitch while legs remain at rest |
| 12 | brain foggy and slow |
| 13 | lightheadedness |
| 14 | stiff neck |
| 15 | tingling sensations in body, legs or face |
| 16 | pain in ears |
| 17 | stabbing pain in head |
| 18 | pain (not stabbing) in back of head |
| 19 | tension anxiety |
| 29 | difficulty taking a deep breath |
| 21 | sore throat |
| 22 | persistent cough |
| 23 | swollen glands |
| 24 | stabbing pain in body |
| 25 | fever, chills |
| 26 | rash covering entire body |
| 27 | swollen joints |
| 28 | upper leg tingles when moving |
| 29 | muscle weakness |
To reveal more details of the course of the illness a symptom log (Fig. 1) was started on day 0 = August 18, 1997. Note that the ECM appeared 20 days before this day, and that logs of symptoms 10 - 29 were started only on day 30.
Fig. 1: Symptom log. Vertical axis: symptom, symptom IDentification number, horizontal axis: day after onset of opticus neuritis (opticus neuritis first appeared on August 18, 1997 = day 0). Each occurrence of a symptom is marked by a dot entered in the row for the symptom at a horizontal location given by the date of occurrence. The columns sparated by vertical lines have a width of 28 days. Thin dots: during these days the corresponding symptoms appeared only in the evening, in a mild form or barely noticeable. The graphics stops at day 660 = June 9, 1999, and -as of today - the person has had no relapse, except perhaps a suspected one between days 855 and 870. Patient has been exposed to ticks in an endemic area, the German province Mecklenburg-Vorpommern. Up to 17 percent of the ticks are infected with Borrelia burgdorferi (Landeshygiene-Institut, Schloßstraße 8, D - 17235 Neustrelitz, 1997)). M = menses (data between day 170 and 220 missing). Lines with 4 weeks distance between each other have been drawn to visualize the reference flare cycle after J.J. Burrascano. Statistical analysis of symptom in bold letters follows in Figs. 3, 4, 5. Medication regimes have been entered into the figure, except for azithromycin and amantadine. Pharmacokinetic models and data: ceftriaxone, cefuroxime, cefepime, doxycycline. |
|
The conventions for recording the severity of symptoms were:
We have applied the statistical analysis presented above to the data of this symptom log. We think that -by enhancing the visibility of symptom cycles- this analysis helps us with deciding whether Borrelia burgdorferi (Bb) are still active in the sense J.J. Burrascano uses it (with your www browser find "active" and "flare" in J.J. Burrascano's essay).
Fig. 2: Frequency plots for light-hypersensitivity events. Note phase shift (heavy arrow) separating regions with approx. 28 day cycles. This shift has been introduced by first ceftriaxone treatment (days 99 - 128). Heavy curve: days with light-sensitivity appearing only in the evening, in a mild or barely noticeable form deleted from symptom log. Symptom severity and duration have decreased after 2 regimens with cephalosporines, which introduces jaggedness of curve. Vertical lines have 4 week distance, the Borrelia burgdorferi reference cell cycle after J.J. Burrascano. Number in double brackets gives symptom ID, arrows mark peaks of frequency distributions.
Fig. 3: Frequency plots for lightheadedness events. Lightheadedness appeared in clearly defined periodic flares before effective antibiotic treatment (period of cycles is 28 days, see plot on the left). Vertical lines have 4 week distance, the Borrelia burgdorferi reference cell cycle after J.J. Burrascano. Pre-ceftriaxone curve superimposed on Cefuroxime curve for comparison. Arrows mark center of flares. Presumed presence of 56 day flare suggests new Bb population growth. 28 days flare disappeared in cefuroxime time during intake of 5 g cefuroxime twice a day (broad arrow).
Symptoms 7 and 13 ("hypersensitivity to light" (Fig. 2), "lightheadedness" (Fig. 3)) appear in clearly defined flares of 24 - 28 days period before effective antibiotic treatment (days 1 - 98, see arrows, compare with symptom 1 in Fig. VIII. 3)
Fig. 4 shows the cyclical appearance of symptoms 15 - 18 ("Tingling Sensations" (ID = 15), "Pain in Ears" (ID = 16), "Stabbing Pain in Head" (ID = 17) and "Pain in Back of Head" (ID = 18)) and their dependence on cefuroxime and ceftriaxone treatment.
Severity of symptoms
(Heavy curves represent the logs with sub-threshold symptom manifestations deleted. They show the periodicities to a lesser amount, indicating that also mild symptoms are related to infection. )
Fig. 5: Frequency plots for a larger statistical basis: All prominent symptom logs have been lumped together and used as statistical basis for frequency analysis. Arrows mark flares of disease. Vertical lines have 4 week distance, the Borrelia burgdorferi reference cell cycle after J.J. Burrascano. Heavy curve: Days from symptom log deleted during which symptom occurred only in the evenings, mildly or hardly noticeable. Note: Because in 2nd Ceftriaxone regimen periods vary from symptom to symptom (Fig. 2 and Fig. 4), periodicity averages out in mix of symptoms .
TABLE 1: Symptom Cycle Duration as a Function of Treatment. The average menstrual cycle length of the patient during the time covered by the symptom log was 23.7 days. No major variations of this length occurred (see Figs. VIII.3.1 and VIII.3.2).
| Symptom ID | Symptom | Cycle Length Prior to Antibiotic Treatment |
Cycle Length During Cefuroxime Intake |
Cycle Length During Ceftriaxone Infusions |
| 7 | Light-Hypersensititvity | 24 days | 18 days | 26 days |
| 13 | Lightheadedness | 28 days | 24 days (?) | symptom occurrs almost continuously |
| 15 | Tingling Sensations | 18 days (?) | 18 days | 12 days |
| 16 | Pain in Ears | 12 days | symptom occurrs only once | 10 days |
| 17 | Stabbing Pain in Head | 20 days | 10 days | 16 days |
| 18 | Pain in Back of Head | symptom occurrs only once | 17 days | 10 days |
| 7 - 18, except 9 and 14 | Lumped Symptoms | 25 days | 16 days | 17 days |
Notation
cycle length = T days means: the frequency plot shows peaks at T, 2 T, 3 T, etc., and, similarly in the symptomlog, the symptom appears periodically every T, 2 T, 3 T, ... days or in trains separated by T, 2 T, 3 T, ... days (see Fig. VIII. 3).
? means statistical basis too small for better estimate.
In Tab. 2 the influence of the endocrine system (menstruation cycles) and toxin levels on the activity of the immune system are summarized, as they will be interpreted later.
TABLE 2: Symptom Occurrence as a Function of Immune System Activity
| Phase of Disease | Symptom Occurrence | Immune System | Interpretation of Effect |
| pre-treatment (100 days) |
mostly in follicular phase | endocrine/menstrual modulation | Bb fragments/lysis trigger inflammation in follicular phase |
| antibiotics fighting infection | no correlation with menstrual cycle | locked in undamped, self-organized oscillations | cephalosporins kill Bb, immune system cleans up fragments periodically |
| antibiosis: late part | mostly in luteal phase | endocrine/menstrual modulation | Bb fragments leave niches, accumulating during luteal phase |
(At the low Bb densities dealt with here, Bb growth half life TBb is surely independent from the amount of nutrient substrate, unlike expressed in the Monod-approximation (local link in case page has moved) in G. S. Agarwal, Dec. 1994, edited and amplified by H. Bungay, Jan. 1995 and Feb. 1996, Microbiology Of Treatment Processes, Microbial Growth ).
Here is an example of this growth and decay: the number of bacteria CBb is plotted as a function of the antibiotic concentration C and the time t during which the bacteria have been exposed to the antibiotic (CBb is abbreviated as N)
(Bacteria adapt over time to antibiotics, and so in more elaborate pharmacodynamic models than the MIC model (A, B) used here the decay half-life TBb is taken to depend on the time t the antibiotic has acted on the bacteria population.
In this example the decay rate - tBb is abbreviated as R[C, t], indicating that it depends both on the antibiotic concentration C and the time t during which the bacteria have been exposed to the antibiotic.
In the chosen example (cell wall antibiotic = meropenem, bacterium = staphylococcus aureus) the MIC model overestimates the actual number of bacteria by at most a factor of 10 to 100. At meropenem concentrations near the Minimum Inhibitory Concentration (0.032 mg/l) the MIC model is typically off by a factor of 3, as can be seen in the second plot in the top row of the figure).

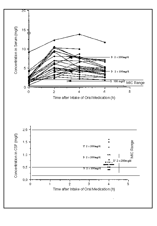
Fig. 6: Cefuroxime concentration in CSF, CCSF, when 2 g cefuroxime are taken in every 12 h. x-axis: time after first intake, y-axis: cefuroxime concentration in CSF. Line at 0.26 mg/L shows 2 MIC. Note periods of subMIC concentrations (Critique of the "Minimum Inhibitory Concentration").
The corresponding dose vs. time diagram for ceftriaxone (as opposed to cefuroxime) in the appendix shows that due to its long elimination half life ceftriaxone both avoids periods of subMIC concentrations and accumulates over some five intakes.
Fig. 7: Schematic of net Bb growth for cefuroxime regimen i = 7. x-axis: time after beginning of regimen 7. For illustration purposes Bb generation time was arbitrarily asumed to be equal to the in vitro generation time in the experiments of Agger et al.. Antibiotic is taken in twice daily, the time between intakes is 12 hours. Time intervals (0.5 Delta t7 = 5.5 hours per half day) with inhibitory cefuroxime concentrations in CSF (c(t) > 2 MIC) alternate with intervals (0.5 Delta t7subinh = 6.5 hours per half day) with subinhibitory concentrations (subscript 7 indicates cefuroxime regimen). Thus Bb population oscillates. Since subinhibitory levels last 1 hour per 12 hours longer than inhibitory levels (see shaded area), Bb population undergoes a net growth during 2 hours per day: t7net = Delta t7subinh - Delta t7 = 2 hours/day.
In order to plot Fig. 7 we had to assume a Bb generation time TBb. For illustration purposes, we chose the in vitro generation time TBb = TBbin vitro = 11 hours, a generation time that can be extracted from the in vitro kill kinetics experiments by Agger et al. and a similar time from Preac-Mursic et al., 1987, Preac-Mursic, et al., 1996 and Pollack RJ, Telford SR 3rd, Spielman A.. Note that this value is not applicable to an in vivo Bb population. Below we will come up with an estimate of an upper boundary for the in vivo generation time.
The daily net growth time is the sum of the contributions of the two half days, represented by the two shaded areas in Fig. 7:
t7net = 2 hours per day.
The total net growth time during regimen 7 is the sum over the n7 = 37 days of that regimen:
total net growth time = n7 t7net = 74 hours..
For an arbitrary cefuroxime regimen i the net growth time is, correspondingly,
total net growth time = ni tinet.
The first 5 columns of the following Table 3 specify the cefuroxime regimens. The last 2 columns give the results of the calculations, i.e the number of hours per day during which cefuroxime reduced the Bb population, Delta ti, and the number of hours per day during which the Bb population was able to actually grow, tinet.
ttotalnet = tavnet (n1 + n2 + ... + n7) = 812 hours = 34 days.
Fig. 8 is a more obvious way of visualizing Bb multiplication during the succession of cefuroxime regimens 1 - 7 than the Table 3, but it needs the assumption of an in vivo Bb generation time TBb. Bb population growth has been calculated for a range of these (see right margin of Fig. 8).
Fig. 8: Bb multiplication as a function of time, expressed as day after the start of the symptom log. In vivo Bb generation time TBb is used as curve parameter (12 h < TBb < 228 h). If net Bb growth time tinet was 24 h per day during all regimens, all growth curve segments would have a slope equal to the slope in regimen 1 or 6.
IV. 2 Results
Cefuroxime
Regimen
i
(-)Dose
D
(g/d)Days
of Symptom
LogNumber
of Days
ni
(-)Peak
Plasma
Concentration
(mg/L)Delta ti for
C(t)>2 MIC in CSF
(h/d)Net Growth
Time tinet
(h/d)
1
0.5 x 1
168 - 182
15
2.0
0
24
2
2 x 1
183 - 192
10
8(*)
4
16
3
2 x 2
193 - 202
10
8(*), 22(*)
9
6
4
3 x 2
203 - 210
8
10, 28
10
4
5
5 x 2
211 - 223
13
22(*), 59
12
0
6
0
224 - 229
6
0
0
24
7
2 x 2
230 - 266
37
22(*), 22(*)
11
2
Average
not appl.
168 - 266
99
not appl.
7.8
8.5
Comment:
ni is the number of days during which dose D was taken in,
Peak Plasma Concentrations is peak cefuroxime concentration in plasma after each intake,
Delta ti is the number of hours per day during which cefuroxime concentration was higher than 2 MIC,
Net Growth Time is the number of hours per day during which the population could undergo a net growth (a growth outweighing the loss during Delta ti).
0.5 x 1 means: 0.5 g taken in once per day.
(*) means: value determined in lab, all other peak concentrations are these values scaled according to dose and bioavailability.
so that the total number of hours during which cefuroxime was present in the CSF at subinhibitory concentrations is
Delta tav = n1 Delta t1 + n2 Delta t2 + .... + n7 Delta t7 / (n1 + n2 + ... + n7) = 7.8 hours per day.
tavnet = n1 t1net + n2 t2net + .... + n7 t7net / (n1 + n2 + ... + n7) = 8.5 hours per day,

Fig. 9 is a plot of the multiplication of the Bb population over the entire cefuroxime period (days 168 - 266) versus Bb in vivo generation time. The diagram allows the reader to enter his/her guess of the multiplication necessary to bring about a (health status dependent) worsening of the infection noticeable by the patient and read the corresponding in-vivo Bb generation time off the x-axis (dashed lines demonstrate this for a Bb multiplication by a factor of 100. For a rationale of the factor 100 see e.g. Straubinger, 2000).

Fig. 9: Bb multiplication in cefuroxime regimens 1 - 7 equaling 34 net days of Bb growth (Bb-multiplication = exp[34 days ln2 / TBb]). Let us assume that an increase of the Bb population by at least a factor of 100 is needed for the patient to notice a worsening of her health status. Then, the upper limit of the in vivo Bb generation time would be 5 days (see dashed lines).
The next chapter will give
A multitude of microbiological and immunological processes (as e.g. reviewed by Rupprecht et al., 2008) work together to produce the overall, observable behavior. Similarly as the physician does not need to link the details of the individual processes to his interpretation of the dynamics of his patient's illness, we attempt to
An immune system ("oscillatory immune system") with the following two properties develops the above analyzed symptom flare cycles, i.e. self-organized oscillations between a symptom free and an ailing stage. These oscillations are a well known property of general feedback control systems without sufficient damping (Ball P, 1999). Oscillating immune responses have been observed in non-Lyme cases and have been modeled, the models being used to optimally direct the antibiotic intervention in a similar fashion as is done in this paper (in chronologcal order: Dibrov BF et al. 1976, 1978, Smirnova OA 1991, De Boer RJ et al. 1993, Muraille E et al. 1996, McKenzie FE, Bossert WH 1997, see also literature surveys 1 and 2).
The immune system responds to what I will abbreviate as toxins such as
"Massive release of tumor necrosis factor is responsible for the potentially fatal Jarisch-Herxheimer reaction that follows antibiotic treatment of relapsing fever due to Borrelia recurrentis."
Via molecular mimicry, also autoimmune processes can be triggered by Bb proteins (Sigal 1997, Sigal and Williams 1997, Hemmer et al.1999, Klempner et al. 1999, an ongoing study headed by Adriana Marques, Laboratory of Clinical Investigation, National Institute of Allergy and Infectious Diseases, reported in NIAID's News). T-cell subpopulations (of short-lived T-cells) responsible for autoimmune processes might persist as long as sufficient levels of such proteins are present in the host (Kuby, chapter 12, S. 305). The existence of such autoimmune processes could bring about a decoupling of infection and inflammation, both in space and time. If such processes support e.g. symptom cycles, their period may differ from the periods of cycles triggered by infectious processes. The following description refers to an immune response directed against an infection.
The immune response should be visualized as being twofold:
The immune response ends when
These two steps are combined into a feedback control process aiming at the elimination of the toxin. Unlike with many other infections, the incubation time of the toxins is so short (i.e. some hours, like in viral influenza) that the immune system's memory is irrelevant (pp. 202, 447 in Kuby, 1997). Thus, steps 1 and 2 will be repeated in much the same form as long as the niches release new toxins into compartments under immune system surveillance. The feedback control system is locked into undamped oscillations.
As is illustrated in Fig. 10, the basic building blocks of the immune response model are

Fig. 10: A simple compartment system and an immune system control scheme that produces oscillations between an inflamed state and a symptom free state.
Sections V. 1 and V. 2 will give simple examples of possible feedback control cycles (cycles of type 1). The mechanism driving the cycles in the absence of antibiotics are different from the one responsible for cycles under the influence of antibiotics.
Fig. 11 shows a compartment model and the symptom cycles produced by an oscillatory immune system. The concentration C(t) of the substance invoking immune response is assumed to be proportional to the Bb concentration.

Fig. 11: Schematic of flare cycles driven by oscillatory immune response fBb(CBb(t), t), where
Note the logarithmic concentration scale in diagrams for C(t): A straight line up (down) represents exponential growth (decay).
Immune system always starts up (f = 1) when Bb concentration has reached a concentration C1. Thus, the immune system being triggered by Bb concentration, always lags behind Bb growth.
Immune system always shuts down (f = 0) at Bb concentration C2, i.e. before all Bb have been eliminated. To simplify the figure, thresholds C1 and C2 have been assumed to coincide.
f has been chosen symptom specific, assuming that immune system has localized properties. f's are chosen such that logs of symptoms 7 and 12 are reproduced (see symptom logs placed at level C2).
Data used in calculations for illustration purposes
The phases of a flare cycle are:
In Fig. 11 we have fitted the compartment model to the symptom cycles by allowing a variation of the location of the peaks of the immune system switching function fBb(CBb(t), t), while keeping the Bb generation time TBb and the elimination half life TIBb fixed (thus the widths of the peaks are constant). This results in shifting fixed zig-zag segments (one branch going up the other going down) around. We did not succeed fitting the data of a symptom log by doing the reverse, i.e. keeping the f-curve fixed while adjusting the slopes of the individual zig-zag branches. Thus, it seems that the times when the immune system loses track of a Bb population and starts seeing the next one are variable.
The geometry of the curves in Fig. 11 lets us see the following properties of symptom cycles before antibiotic treatment:
Fig. 12: Concentration CBb(t) of Bb population outside niche (dashed line) and CF(t) of Bb fragments (heavy line) resulting from a Bb source r(t). Concentrations are calculated with compartment model shown in top of figure.
Superimposed on the concentration curves in the upper diagram at level C2 is a section of the symptom log of symptom 7, i.e. the vertical series of dots for symptom 7 (Light Hypersentisitivity) between day 272 and 292 in Fig. 1.
Like in Fig. 11, f is the immune switching function, while C1 and C2 are the immune response start up and shut down thresholds, respectively.
In the case depicted in Fig. 12,
Data used in computations
TBb = 5 days.
TIBb = 0.5 days.
TIF = 1 day.
r(t) as stated in upper right corner of diagrams.
Specific properties of this system are:
Thus, a Bb populations entering the system from niches drive flare cycles, much like dust entering into a room from an outside source makes periodic room cleaning necessary. As long as there exists the dust source outside, we need to periodically clean the room. Similarly, the Bb niche population is called "active" by J.J. Burrascano as long as the Bb fragment concentration oscillates across the threshold for a Herxheimer reaction, CF(t) > C2.
The model explains an interesting feature consistent with that analogy:
When the fragment concentration exceeds a threshold C2, this induces an (Herxheimer-like) immune reaction accompanying the fragment clean-up (Hurley 1992). The reaction subsides -as does the clean-up- once the fragment concentration has fallen below some other threshold (hysteresis). The relationship between C2 and the immune response (cytokine production) is highly non-linear, including a lag phase at the beginning (Frieling et al. 1997).
Only when the cell wall antibiotic is present at the minimum inhibitory concentration or some small integer multiple of it, the Bb pool cannot grow exponentially, not even in the absence of an immune response. When the antibiotic concentration is subinhibitory allowing the Bb population to grow exponentially, the symptoms worsen and their temporal development reflects this (see Fig. 11). Since during the time of the treatment with cefuroxime the patient experienced this worsening (see Fig. 8), we have a strong indication that active Bb have survived the 30 days of ceftriaxone and subsequent 30 days of doxycycline treatment (days 99 - 166).
The minima of the fragment compartment concentrations oscillations follow roughly an asymptotic curve, the differential equation of which is given in the box in the top of Fig. 12. The theoretical background is given in the Notation Section. Fig. 12 shows that the Bb concentration oscillates between two equilibrium levels. Only if these tend towards zero, will the infection be cured. For that the source of Bb must eventually be stopped (r(t) -> 0, see lower diagram in Fig. 12), which demands an elimination of the niche population.
When the immune responses switching functions fBb and fF do not have the same frequency, the fragment concentration, being driven by the Bb concentration, shows a beat-like behavior in time. Correspondingly, the time during which this concentration is above a threshold level C2 shows these beats, too. This provides a simple interpretation of apparently irregular symptom logs (probably there are more involved reasons for these irregularities, including spontaneous and induced statistical fluctuations in the host's immune system). As an illustration, the log of symptom 7 is superimposed on the beats of CF(t). The log's irregularities are roughly reproduced by the modeled beats, and the fit could be improved by further shifting the periods of the two immune response functions.
The method is exemplified with the data of a female patient's symptom log. Specifics of this log are:
The models use as input
The results of the model seem to be stable against reasonable variations of input parameters (2), but their relative contributions, i.e. the effect of the immune system relative to the antibiotic (expressed as arrows in Fig. 12), needs to be discussed further. Once the immune system switching function f thresholds can be deduced from medico-microbiological principles, therfore not needing to be adapted to get the modeled symptom logs fit the data (as done in this analysis), the presented -rather empirical- interpretation of the infection's flare cycles would be markedly improved.
Ball P, The self-made tapestry: pattern formation in nature, Oxford University Press, Oxford, New York, Tokyo, 1999. (look inside book)
Barkley M, Harris N, Szantyr B, 1997. The Lyme Urine Antigen Test (LUAT) during antibiotic therapy in women with recurrent menstrual cycles. 10th Annual Int. Conf. on Lyme Borreliosis, National Institute of Health, Bethesda, MD, April 28-30.
Beck G, Habicht GS, Benach JL, Coleman JL, Lysik RM, O'Brien RF, A role for interleukin-1 in the pathogenesis of Lyme disease. Zentralbl Bakteriol Mikrobiol Hyg [A] 263(1-2):133-6 , 1986.
Bingen E, Goury V, Bennani H, Lambert-Zechovsky N, Aujard Y, Darbord JC, Bactericidal activity of beta-lactams and amikacin against Haemophilus influenzae: effect on endotoxin release. J. Antimicrob. Chemother. 30:165-172, 1992.
Bleiweiss JD, When to Suspect Lyme Disease?
Bransfield RC, Sex & Lyme.
Bristol-Myers Squibb, Pharmaceutical Information, 777 Scudders Mill Road Plainsboro, NJ 08536, Tel.: +1 (609) 252-4000 or (800) 332 - 2056.
Brorson O, Brorson SH, In vitro conversion of Borrelia burgdorferi to cystic forms in spinal fluid and transformation to mobile spirochetes by incubation in BSK-H medium. Infection 26:144-150, 1998.
Bericht des Landeshygiene-Instituts Mecklenburg-Vorpommern, Schloßstraße 8, D - 17235 Neustrelitz, Tel. + 49 -3981- 272 - 100 (Dr. Kober), 1997.
Burns MJ, Furie MB, Borrelia burgdorferi and Interleukin-1 Promote the Transendothelial Migration of Monocytes In Vitro by Different Mechanisms, Infect Immun 66: 4875-4883, 1998.
Burrascano JJ, The new Lyme disease: diagnostic hints and treatment guidelines for tick-borne illnesses.
Buxton Hopkin DA., Too rapid destruction of gram-negative organisms. Lancet i:603-604, 1977.
Chambers HF, Hadley WK, Jawetz E, "Beta-lactam antibiotics & other inhibitors of cell wall synthesis", pages 725-726 in: Basic & Clinical Pharmacology (Katzung BG, ed.), Appleton & Lange, Stamford, CT, USA, 1998.
Cohen J, and McConnell JS, Antibiotic-induced endotoxin release. Lancet i:1089-1090, 1985. (Letter).
Cohen, J, and McConnell JS, Release of endotoxin from bacteria exposed to ciprofloxacin and its prevention with polymixin B. Eur. J. Clin. Microbiol. 5:13-17, 1986.
Crosby HA, Bion JF, Penn CW, and Elliott TSJ, Antibiotic-induced release of endotoxin from bacteria in vitro. J. Med. Microbiol. 40:23-30, 1994.
Coyle, PK, Borrelia burgdorferi infection: clinical diagnostic techniques. Immunol Invest 1997 Jan; 26(1&2):117-128
Damas P Ledoux D, Nys M , Vrindts Y, De Groote D, Franchimont P, and Lamy M., Cytokine serum level during severe sepsis in human IL-6 as a marker of severity. Ann. Surg. 215:356Ð362, 1992.
De Boer RJ, Perelson AS, Kevrekidis IG, Immune network behavior--I. From stationary states to limit cycle oscillations., Bull Math Biol 55(4):745-80, 1993.
Dever LL, Torigian CV, and Barbour AG, In Vitro activities of the everninomicin SCH 27899Êand other newer antimicrobial agents against Borrelia burgdorferi, Antimicrob Agents Chemother. 43(7): 1773-17, 1993.
Dibrov BF, Livshits MA, Vol'kenshtein MV, Mathematical model of the immune response, Biofizika 1976 Sep-Oct;21(5):905-9, 1976.
Dibrov BF, Livshits MA, Vol'kenshtein MV, Mathematical model of the immune response. IV. Threshold character of the infectious process, Biofizika 1978 Jan-Feb;23(1):143-7, 1978.
Dotevall L, Alestig K, Hanner P, Norkrans G, Hagberg L, The use of doxycycline in nervous system Borrelia burgdorferi infection. Scand J Infect Dis Suppl 1988;53:74-9.
Dotevall L, Hagberg L, Penetration of doxycycline into cerebrospinal fluid in patients treated for suspected Lyme neuroborreliosis. Antimicrob Agents Chemother 1989 Jul;33(7):1078-80.
Eng RHK, Smith SM, Fan-Havard P, and Ogbara T, 1993. Effect of antibiotics on endotoxin release from gram-negative bacteria. Diagn. Microbiol. Infect. Dis. 16:185-189.
Evans ME, Pollack M, Effect of antibiotic class and concentration on the release of lipopolysaccharide from Escherichia coli. J. Infect. Dis. 167:1336-1343, 1993.
Fallon BA, Nields JA, Microbiology of Borrelia burgdorferi, in: "Lyme Disease: A Neuropsychiatric Illness", an overview, The American Journal of Psychiatry 1994;151,11:1571-1583.
Friedland IR, Jafari H, Ehrett S, Rinderknecht S, Paris M, Coulthard M, Saxen H, Olsen K, and McCracken GH, Comparison of endotoxin release by different antimicrobial agents and the effect on inflammation in experimental Escherichia coli meningitis. J. Infect. Dis. 168:657-662, 1993.
Frieling JTM, Mulder JA, Hendrics T , Curfs JHAJ, van der Linden CJ, Sauerwein RW, Differential Induction of Pro- and Anti-Inflammatory Cytokines in Whole Blood by Bacteria: Effects of Antibiotic Treatment, Antimicrobial Agents and Chemotherapy 35:1439Ð1443, 1997.
Frieling JTM, Van Deuren M, Wijdenes J, Van der Meer JWM, Clement C, Van der Linden C, and Sauerwein RW, Circulating interleukin-6 receptor in patients with sepsis syndrome. J. Infect. Dis. 171:469Ð472, 1995. (see also Frieling et al 1997)
Giambartolomei GH, Dennis VA, Philipp MT, Borrelia burgdorferi stimulates the production of interleukin-10 in peripheral blood mononuclear cells from uninfected humans and rhesus monkeys, Infect Immun Jun;66(6):2691-7, 1998.
Goodman and Gilman's "The Pharmacological Basis of Therapeutics, 9th ed., McGraw Hill, 1995, abstracting this value from Schaad et al., 1990.
Groer M, Carr J, Younger MS, Relationships between self-reported symptoms of infection, menstrual-cycle-related distress, and cycle phase. Behav Med 1993 Spring;19(1):13-9, 1993.
Hemmer B, et al. Identification of candidate T-cell epitopes and molecular mimics in chronic Lyme disease. Nature Medicine 5(12):1375-82, 1999.
Hu LT, Klempner MS, Host-pathogen interactions in the immunopathogenesis of Lyme disease. J Clin Immunol 17(5):354-65, 1997.
Hurley JC, Antibiotic-induced release of endotoxin: a reappraisal. Clinical Infectious Diseases 1992;15:840-854.
Karlsson M, Hammers S, Nilsson-Ehle I, Malmborg AS, Wretlind B, Concentrations of doxycycline and penicillin G in sera and cerebrospinal fluid of patients treated for neuroborreliosis. Antimicrob Agents Chemother 1996 May;40(5):1104-7.
Kessler RE, Fung-Tomc J, Susceptibility of bacterial isolates to beta-lactam antibiotics from U.S. clinical trials over a 5-year period, Am J Med 1996;100(suppl 6A):13S-19S.
Klempner MS and Huber BT, Is it thee or me?-autoimmunity in Lyme disease. Nature Medicine 5(12):1346-7, 1999.
Kossmann T, Hans V, Stocker R, Imhof HG, Joos B, Trentz O, Morganti-Kossmann MC, Penetration of cefuroxime into the cerebrospinal fluid of patients with traumatic brain injury. J Antimicrob Chemother 37:161-7, 1996.
Kuby J, Immunology, 3rd Ed., WH Freeman and Co, New York, 1997.
Lawrence C, Lipton RB, Lowy FD, Coyle PK, Seronegative chronic relapsing neuroborreliosis. Eur Neurol 1995;35(2):113-117.
Leslie CA, Dubey DP, Increased PGE2 from human monocytes isolated in the luteal phase of the menstrual cycle. Implications for immunity?, Prostaglandins 1994 Jan;47(1):41-54.
Ma Y, Weis JJ, Borrelia burgdorferi outer surface lipoproteins OspA and OspB possess B-cell mitogenic and cytokine-stimulatory properties. Infect Immun 1993 Sep;61(9):3843-53.
Mattie H, Antibiotic efficacy in vivo predicted by in vitro activity, Internat J Antimicrob Agents 14:91-98, 2000.
Mattman, LH, Cell Wall Deficient Forms - Stealth Pathogens, 2nd. ed., CRC Press, 1993.
McConnell, J. S., and J. Cohen, Release of endotoxin from Escherichia coli by quinolones. J. Antimicrob. Chemother 18:765-766, 1986. (Letter).
McKenzie FE, Bossert WH, The dynamics of Plasmodium falciparum blood-stage infection, J Theor Biol. 188(1):127-40, 1997.
Mertsola, J., O. Ramilo, M. M. Mustafa, X. Saez-LLorens, E. J. Hansen, and G. H. McCracken, Release of endotoxin after antibiotic treatment of gram-negative bacterial meningitis. Pediatr. Infect. Dis. J. 8:904-906, 1989.
Mohler, J. B. Fantin, J. L. Mainardi, and C. Carbon, Influence of antimicrobial therapy on kinetics of tumor necrosis factor levels in experimental endocarditis caused by Klebsiella pneumoniae. Antimicrob. Agents Chemother. 38:1017-1022, 1994.
Muraille E, Thieffry D, Leo O, Kaufman M, Toxicity and neuroendocrine regulation of the immune response: a model analysis, J Theor Biol. 183(3):285-305, 1996.
Nau R et al., Passage of cefotaxime and ceftriaxone into cerebrospinal fluid of patients with uninflamed meninges. Antimicrob Agents Chemother 37:1518-1524, 1993.
Northern AL, Rutter SM, Peterson CM, Cyclic changes in the concentrations of peripheral blood immune cells during the normal menstrual cycle. Proc Soc Exp Biol Med Oct;207(1):81-8, 1994.
Phillips SE, Mattman LH, Hulinska D, Moayad H, A Proposal for the reliable culture of Borrelia burgdorferi from patients with chronic Lyme disease, even from those previously aggressively treated, Infection 26 (1998) 364-367.
Preac-Mursic V, Wilske B, Schierz G, Holmburger M, Süß E, In vitro and in vivo susceptibility of Borrelia burgdorferi, Europ J Clin Microbiol 6:424-426, 1987.
Preac-Mursic V, Weber K, Pfister HW, Wilske B, Gross B, Baumann A, Prokop J, Survival of Borrelia burgdorferi in antibiotically treated patients with Lyme borreliosis. Infection Nov-Dec;17(6):355-9, 1989.
Preac-Mursic V, Wilske B, Schierz G, Süß E, Comparative antimicrobial activity of new macrolides against Borrelia burgdorferi. Europ J clin Microbiol Infect Dis 8:651-653, 1989.
Preac-Mursic V, Marget W, Busch U, Pleterski D, Rigler S, Hagl S , Kill Kinetics of Borrelia burgdorferi, Infection, 24: 9 - 16, 1996.
Preac Mursic V, Wanner G, Reinhardt S, Busch U, Marget W, Formation and cultivation of Borrelia burgdorferi spheroplast-L-form variants. Infection 24 (1996): 218-226.
Roumen RMH., Frieling JT M , van Tits HWHJ , van der Vliet JA, and Goris RJA, Endotoxemia following major vascular operations. J. Vasc. Surg. 18:853-857, 1993.
Samples taken from 43 year old female whose data were analyzed in this report.
Schaad UB, Suter S, Gianella-Borradori A, Pfenninger J, Auckenthaler R, Bernath O, Chesaux JJ, and Wedgwood J, A comparison of ceftriaxone and cefuroxime for the treatment of bacterial meningitis in children. N. Engl. J. Med. 322:141-147, 1990.
Sellati TJ, Abrescia LD, Radolf JD, Furie MB. Outer surface lipoproteins of Borrelia burgdorferi activate vascular endothelium in vitro. Infect Immun Aug;64(8):3180-7, 1996.
Schutzer SE, Coyle PK, Belman AL, Golightly MG, Drulle J, Sequestration of antibody to Borrelia burgdorferi in immune complexes in seronegative Lyme disease. Lancet 1990 Feb 10;335(8685):312-315.
Schutzer SE, Coyle PK, Dunn JJ, Luft BJ, Brunner M, Early and specific antibody response to OspA in Lyme Disease. J Clin Invest Jul;1994(1):454-457, 1994.
Shenep, JL, Flynn PM , Barrett FF, Stidham GL, and Westenkirchner DF, Serial quantitation of endotoxemia and bacteremia during therapy for gram-negative bacterial sepsis. J. Infect. Dis. 157:565-568, 1988.
Shenep, JL, Barton RP, and Mogan KA, Role of antibiotic class in the rate of liberation of endotoxin during therapy for experimental gram-negative bacterial sepsis. J. Infect. Dis. 151:1012-1018, 1985.
Shmuklarsky MJ, Boudreau EF, Pang LW, Smith JI, Schneider I, Fleckenstein L, Abdelrahim MM, Canfield CJ, Schuster B, Failure of doxycycline as a causal prophylactic agent against Plasmodium falciparum malaria in healthy nonimmune volunteers. Ann Intern Med 1994 Feb 15;120(4):294-9.
Sigal LH, Immunologic mechanisms in Lyme neuroborreliosis: the potential role of autoimmunity and molecular mimicry, Semin Neurol 1997 Mar;17(1):63-8
Sigal LH, Williams S, A monoclonal antibody to Borrelia burgdorferi flagellin modifies neuroblastoma cell neuritogenesis in vitro: a possible role for autoimmunity in the neuropathy of Lyme disease, Infect Immun 1997 May;65(5):1722-8.
Smirnova OA, Study of cyclic kinetics of immunity by mathematical modeling methods, Kosm Biol Aviakosm Med. 25(5):53-6, 1991.
Spangler SK, Jacobs MR, Apfelbaum PC, MIC and Time-Kill Studies of Antipneumococcal Activity of 118819X (Sanfetrinem) Compared with Those of Other Agents, Antimicrob Agents Chemother 41:141-155, 1997.
Straubinger RK, Straubinger AF, Summers BA, Erb HN, Härter L, Appel MJG, Borrelia burgdorferi induces the production and release of proinflammatory cytokines in canine synovial explant cultures. Infect Immun 66(1):246-258, 1998.
Straubinger RK, PCR-Based Quantification of Borrelia burgdorferi Organisms in Canine Tissues over a 500-Day Postinfection Period. J Clin Microbiol 2000;38:2191.
Tai KF, Ma Y, Weis JJ, 1994. Normal human B lymphocytes and mononuclear cells respond to the mitogenic and cytokine-stimulatory activities of Borrelia burgdorferi and its lipoprotein OspA. Infect Immun Feb;62(2):520-8, 1994.
Thornsberry et al., In vitro activity of cefepime and other antimicrobials: survey of European isolates, J. Antimicrobial Chemother 32, Suppl. B, 55-62, 1993.
van den Berg C, De Neeling AJ, Schot CS, Hustinx WMN, Wemer J, and de Wildt DJ, Delayed antibiotic-induced lysis of Escherichia coli in vitro is correlated with enhancement of LPS release. Scand. J. Infect. Dis. 24:619-627, 1992.
van Deuren, M, van der Ven-Jongekrijg J, Bartelink AK, van Dalen R, Sauerwein RW, and van der Meer JW, Correlation between proin-flammatory cytokines and antiinflammatory mediators and the severity of disease in meningococcal infections. J. Infect. Dis. 172:433Ð439, 1995.
Wagner D private communication, Pharmaceutical Info Div., 777 Scudders Mill Road, Plainsboro, NJ 08536, Tel.: +1 (609) 897 - 2776, Fax: +1 (609) 897 - 6042.
Yim CW, Flynn NM, Fitzgerald FT, Penetration of oral doxycycline into the cerebrospinal fluid of patients with latent or neurosyphilis.Antimicrob Agents Chemother 1985 Aug;28(2):347-8.
Zhang JR, Hardham JM, Barbour AG, Norris SJ, Antigenic variation in Lyme disease borreliae by promiscuous recombination of VMP-like sequence cassettes, Cell Apr 18;89(2):275-285, 1997.
Zhang H, Niesel DW, Peterson JW, Gary R, Lipoprotein release by bacteria: potential factor in bacterial pathogenesis, Infect Immun 66(11):5196-5201, 1998.
Bb = Borrelia burgdorferi.
C(t) = concentration of substance provoking immune response, i.e. of Bb (CBb(t)) and of Bb fragments (CF(t)) (units: number of spirochetes per system volume).
cCSF(t) = concentration of antibiotic in CSF (units: mg/L).
cGI(t) = concentration of antibiotic in gastro-intestinal tract at time t after drug intake (units: mg/L).
CHx = threshold concentration of Bb fragments starting Herxheimer like reaction (units: number of fragments per system volume).
cP(t) = concentration of antibiotic in blood plasma at time t after drug intake/infusion (units: mg/L).
CooBb = stationary concentration of Bb population outside the niche = r(t)/(ln2 (1/TBb + 1/TIBb)) or r(t) TBb/ln2, depending on whether immune system is assumed to be eliminting Bb or not (units: number of fragments per system volume).
CooF(t) = concentration of Bb fragments after concentration CBb(t) of Bb population outside the niche has reached its stationary value CooBb (see Fig. 12) (units: number of fragments per system volume).
compartment model = a visualization of a linear system of first order differential equations describing the growth of the number of cells in a system. A system may consist of several subsystems, each of which will be represented by a compartment. Compartments have in- ond outfluxes having the dimension cells per time (when the entities within a compartment are cells). What comes out of one compartment may go into some other compatrment, the two compartments being "coupled". Each compartment is represented by a differential equation which states how much goes in and out per unit time. The Mathematica code representing the compartment models used here is given in http://www.lymenet.de/symptoms/cycles/mathcode.htm.
cytokines: Plasma LPS concentrations usually do not correlate with clinical symptoms (Roumen et al. 1993). It is the induction of cytokines through cell wall components like LPS which mediates the biological responses during bacterial infections. Cytokine levels and types of cytokines have repeatedly been shown to correlate with clinical outcome (Damas et al., 1992, Frieling et al., 1995, van Deuren et al., 1995).
C1 = threshold concentration triggering the immune system to start toxin elimination (apparently by its humoral branch). The immune response starts with a lag phase. Immune response subsides when toxin concentrations "visible" to the immune system have fallen below another threshold concentration. (units: number of spirochetes or fragments per system volume).
C2 = concentration threshold for inflammation, i.e. above which illness symptoms are perceived (units: number of spirochetes or fragments per system volume).
D = dosage of cefuroxime (gram per intake).
deltai = length of the ith menstrual cycle.
Delta t = time during which cefuroxime concentration in CSF is larger or equal a given inhibitory concentration (units: hours/day).
Delta tsubinh = time during which cefuroxime concentration in CSF is smaller than a given inhibitory concentration (units: hours/day).
equilibrium of a compartment = state in which influx to the compartment equals outflux out of it. At equilibrium the compartment is full, meaning that its concentration will no longer rise.
In particular, here are some properties of the 2-compartment system in Fig. 12:
(1)
CBb(t)' = r(t) - ln2 CBb(t) (1/TBb + fBb/TIBb)
(2)
CF(t)' = ln2 (CBb(t)/TBb - fF CF(t)/TF)
(5)
r = ln2 CBbeq (1/TBb + fBb/TIBb)
These are the values between which the dashed curve in Fig. 12 oscillates.
F = subscript meaning Bb fragments.
f = free (i.e. Bb affecting) fraction of cefuroxime concentration in considered subsystem (here CSF) relative to its plasma concentration (f = : 1 for plasma), f = cCSF/cplasma = 0.1 for CSF (dimensionless). Data from
f(C, t) = dimensionless function describing the activity of the immune response ("immune switching function"). f ia either 0 ("no immune response") or 1 ("immune response"). Here, the immune response is assumed to be directed
flare = cluster of days with symptom occurrence.
follicular phase (here used sensu lato) = the first phase of the menstrual cycle, starting with the menstruation (menstrual bleeding) and ending with the ovulation, i.e. days 1 through 12 ... 14.
I = superscript meaning immune system.
incubation time = time between infection (entrance of the pathogen into host) and development of clinical symptoms.
Immune Response Interval = time interval of approximately 6 days duration, centered around the day of menses (beginning of menstrual bleeding), during which Barkley, Harris and Szantyr observed systematically high antigen concentrations in the urine of a Lyme patient (Barkley et al., 1997). The authors suggest that the immune system has a higher level of activity during this phase (see also testimony of M.S. Barkley before the New York State Assembly Standing Committee on Health, Public Hearing "Chronic Lyme Disease and Long-Term Antibiotic Treatment", Albany, NY, USA, 27.11.2001, pp. 199 - 227).
invisible = located in a compartment into which the immune system or the antibiotic penetrates only poorly. The table gives examples of such locations in which Bb were found.
k
i =
kPCSF = transition rate for drug from plasma to CSF compartment.
lag time = lag phase (symbol: tau)
ln 2 = (natural logarithm of 2 =) 0.69.
LPS = lipopolysaccharide.
luteal phase = phase of the menstrual cycle after the ovulation.
memory = the attribute of the immune system mediated by memory cells whereby a second encounter with an antigen induces a faster start and a heightened state of immune reactivity (Kuby pp 397 - 399)
menses = day of onset of menstrual bleeding.
MIC = Minimum Inhibitory Concentration. Definition: MIC is the minimum level necessary to inhibit bacterial growth. It depends on the bacterial isolate. MIC50 and MIC90 are the levels at which 50 % and 90 % of the tested isolates are inhibited, respectively. (Critique of the "Minimum Inhibitory Concentration" concept).
ni = number of days of a constant cefuroxime regimen (units: day).
net growth of Bb population = growth of population remaining when decay of population has been subtracted.
niches protect Bb from the immune system or the antibiotic (Preac-Mursic et al., 1989) or render toxin released by Bb "invisible" to the immune system. The protection may wane with time and so will the size of the spirochete or toxin population in the niche.
Niches are provided by the host in the form of physical compartments, but they can also be produced by Bb itself in the form of chemical or microbiological defense mechanisms (see also overview in Chapter Background Information of J.J. Burrascano's essay "Managing Lyme Disease".
The basic concept underlying the model is that the niche has the following properties:
Osp = variable, plasmid encoded Outer sphere protein of Bb. The Osp's labeled OspA (30 ... 32 kD), OspB (34 ... 36 kD), OspC (21 ... 24 kD) are unique for Bb, as are the proteins p39 (39 kD) and p93 (93 kD).
ovulation = day on which the ripe ovum (egg cell) leaves the ovarian follicle.
prostaglandin E2 = a lipid inflammatory mediator with diverse biological activities, including increased vascular permeability and dilation, and induction of neutrophil chemotaxis (Kuby, p. 368-371).
r(t) = time variable Bb source term in compartment model (units: spirochetes per day entering unit system volume). It is assumed that r(t) varies much more slowly than concentrations C(t).
symptom = consequence of an inflammation of glial or neural tissue.
system = infected organ or tissue responsible for symptom. Basic systems are defined after Bleiweiss and have been further expanded here into subsystems characterized by the symptoms in Fig. 1 (for symptoms characteristic for borreliosis see also Cairns V, and Godwin J, Post-Lyme borreliosis syndrome: a meta-analysis of reported symptoms, International Journal of Epidemiology 2005 34(6):1340-1345).
ta = part of flare cycle during which immune system is active (units: day).
tb = part of flare cycle during which immune system is not yet active (flare cycle duration is tb + ta) (units: day).
TBb = in vivo Bb generation time (units: day).
TBbinvitro = in vitro Bb generation time. Values extracted tentatively from kill kinetics published by Agger et al. and Preac-Mursic et al. are 11 hours and 10 hours, respectively.
TBbI = Bb elimination half life characterizing immune system (units: day).
TCSF = elimination half life of antibiotic from CSF compartment (units: hour).
TFI = Bb fragment elimination half life characterizing immune system (units: day).
TGI = elimination half life for GI-tract resorption.
total concentration of drug = concentration of all chemical species of drug. Chemical species are the free drug and chemical complexes containing drug. Total concentrations are determined by breaking up all chemical complexes. (units: mg/l).
Via molecular mimicry (Kuby, Ch. 20, S. 497), also autoimmune processes can be triggered by Bb proteins (Sigal 1997, Sigal and Williams 1997). T-cell subpopulations (of short-lived T-cells) responsible for autoimmune processes might persist as long as a sufficient level of such proteins exists.
TP = renal elimination half life from plasma compartment.
t = time variable (units: hour in pharmacokinetic model, units: day in models for flare cycles, Figs. 11 and 12).
tinet = time for net growth of Bb population.
t0 = time of bolus infusion of cephalosporin (units: hour).
tau = lag time for resorption from GI tract. tau = 1.4 h, fitted from experimentally determined plasma concentrations (units: hour).
22.1 mg/l = peak plasma concentration measured in patient's plasma after intake of 2 gram of cefuroxime with prior meal.
xyz =: n this equation means xyz is by definition equal to n.
= (evolution) time between immune system alert by antigen and beginning of antigen elimination during which naive B cells undergo clonal selection in response to the antigen. Lag in primary immune response: generally 4 ... 7 days (as opposed to the lag phase in secondary, i.e. memory enhanced, immune response, which ranges generally between 1 and 3 days). Time of peak response: primary response: 7 ... 10 days, secondary response: 3 ... 5 days (Kuby, pp 397 - 399). Inflammation caused be Osp is not modulated by immune memory.
= time between beginning of infusion and appearance of infused drug in CSF. Equation for ccsf in box in Fig. VIII. 5.5 assumes lag time = 0.
MIC for cefuroxime = 0.13 mg/L, as determined by Agger et al. 2 MIC = 0.26 mg/L is used in the computations, which corresponds to MIC90 = 0.25 mg/L as determined by Preac-Mursic (1987). A critical discussion of the concept behind the MIC can be found in Mattie H 2000) See also Preac-Mursic et al 1996.
In the model simulating the flare cycles in the presence of antibiotics, the term "niche" is used in this generalized sense.
Examples
These toxins produce cytokines (Ma et al. 1993, Tai et al. 1994, Sellati et al. 1996, Frieling et al. 1997, Burns et al. 1998, Giambartolomei et al. 1998, Straubinger et al. 1998, Zhang et al. 1998, see also the result of a Medline search). It is the cytokine levels that correlate with clinical responses (Damas et al., 1992, Frieling et al., 1995, van Deuren et al., 1995).
(see also lag phase in immune response.)
VIII. 2. Medication
|
|
|
The person worked normal hours in her profession during the entire period, except for one sick leave during days 23 - 29, when a series of diagnostic tests were done in a hospital.
![]() |
|
![]() |
![]() |
![]() |
![]() |
![]() |
|
Fig. VIII.3: Artificial symptom log (upper part of Figure) containing symptoms with basic time patterns. Lower part: corresponding statistical evaluation of basic time patterns ("frequency plots"). Note that the bars in the symptom log are composed of dots, one dot for each day during which the symptom was experienced. The dots are graphically not resolved in this plot. Vertical lines in frequency plots have 4 week distance, the Borrelia burgdorferi reference flare cycle after J.J. Burrascano.
The characteristics of the model symptoms are:
To construct the corresponding frequency plot (lower part of Fig. VIII. 3), we basically counted, for each symptom, how often we found a given vertical distance (time difference) between the dots in the symptom log. This was done with a Mathematica program. The results of these calculations were then displayed in a plot: the frequency of appearance was used as y-value, the corresponding time difference as x-value. To be specific, in the model symptom log we found a time difference of 28 days 75 times. Thus, we entered a point at (x = 28 days, y = 75) in the model frequency plot. Similarly, we found that 60 points in the symptom log are 56 days apart, which lead to the point (x = 56, y = 60). The entire frequency plot has been composed of points this way.
Fig. VIII 3.1 is the symptom log with the menses cycles superimposed. The menstruation cycles starting at days -2, 21, 45, 68, 186 and 210 have not been recorded and were extra- and interpolated using the average menses cycle of 23.7 days, the latter number being calculated based on the recorded data.
Fig. VIII 3.1: Symptom log (Fig. 1) superimposed on grid of lines marking the days of the onset of the menstrual bleeding. The antibiotics regimens are denoted on the left and right margins of the figure.
A correlation between menstrual cycle and symptom occurrence becomes more visible when this symptom log is
Fig. VIII 3.2: Location of symptomatic days within menstrual cycles: symptom 7 (light-hypersensitivity), 11 {twitching muscles), 13 (lightheadedness). x-axis: number of menstrual cycle, y-axis: day after the onset of menstrual bleeding. A point at coordinates x, y means: symptom appeared on day y of menstrual cycle x, i.e. on day y + delta1 + delta2 + ... deltax-1, where deltai is the length of the ith menstrual cycle. Cycle 1 starts on day - 2 of the symptom log (see Fig. VIII 3.1). Antibiotic regimens are indicated in box below x-axes, dashed lines marking the beginnings of the regimens. Number in upper left corner of diagram is symptom id. Diagram with plain face symptom id: data of complete symptom log (light and heavy dots in Fig. 1), diagram with bold face symptom id: occurrence of symptoms with subthreshold severity deleted (heavy dots in Fig. 1).
Meaning of zig-zag lines:
Fig. VIII 3.3: Location of symptomatic days within menstrual cycles: symptom 15 (tingling sensations), 17 (stabbing pain in head) and 18 (paresthesias in the head). See also caption of Fig. VIII 3.2
The statistical analysis displayed in Figs. 2, 3, 4, 5 has shown immune system oscillations in mid disease (i.e. during days 150 ... 350 which correspond to menstrual cycles 7 ... 15), having flare cycle durations that depend on parameters such as type of symptom and antibiotic. With the help of a model of the immune system, this has been interpreted as an indication of the severity of the infection: In the attempt to control the high antigen concentrations the immune system gets locked into undamped feedback control oscillations. The model suggests that further parameters influencing amplitudes and frequencies of the oscillations are concentration thresholds, lag phases, and the spirochete generation time or leak rates r(t) of the toxins from the niches housing them.
Contrary to these oscillations which the immune system establishes by itself, Figs. VIII 3.2 and 3 show that
These symptom cycles might reflect immune system modulation by the component of the endocrine system that is responsible for the menstruation cycle (immuno-modulation: Groer et al. 1993, Northern et al. 1994, Lyme disease symptoms clustering in luteal phase: Bleiweiss, Bransfield):
Thus, clustering of symptoms in the luteal phase might indicate a transition of the disease from an active infection to a post-infection syndrome which will disappear once the immune system has finished cleaning up the niches from residual toxins.
Summary:
Graphical representation of our immune response model.
Fig. VIII. 5.1: Pharmacokinetics model used to calculate cefuroxime concentration in CSF. Corresponding set of linear differential equations is shown in top round cornered rectangle. Equation in CSF compartment is analytical solution to this set.
Notation: kGI = kGI multiplied with ratio of volumes of distribution in GI-tract and plasma.
By fitting ccsf(t) to the experimentally determined points, this ratio is automatically assigned its value. For concentrations, rate constants ki = ln2/Ti see Notation Section.
The points in the diagram above the blood plasma compartment are experimentally determined cefuroxime concentrations in the patient's plasma after intake of 2 gram of cefuroxime after a meal. The curve is the model fit. CSF compartment is assumed to be at instant equilibrium with plasma compartment, i.e. the half life of csf compartment is assumed to be T3 < 1 hour.
Fig. VIII. 5.2: Pharmacokinetics model used to calculate ceftriaxone concentration in CSF. Corresponding linear set of differential equations is shown in top of Figure. Equation in CSF compartment is analytical solution to this set. Notation: definition of underlined rate constant is analogous to the one given in caption of Fig. VIII. 5.1. For concentrations, rate constants k, t0 see Notation section.

Fig. VIII. 5.4: Fit of pharmacokinetic model (curves) to reproduce total ceftriaxone concentrations (points) published by Nau et al.(1993). Amount of ceftriaxone infused into vein: 2 g. Upper curves in diagrams: concentration in plasma, lower curves in diagrams: concentrations in CSF.
Resulting model paramters fitting the data are (with plasma compartment denoted as compartment 1 and CSF compartment as compartment 2):
Fig. VIII. 5.5: Model for cefepime pharmacokinetics used to calculate cefepime concentration in CSF. Corresponding linear set of differential equations is shown in top of Figure. Equation in CSF compartment is analytical solution to this set. Notation: See caption of Fig. VIII. 5.2. For concentrations, rate constants k, t0 see Notation section.
Fig. VIII. 5.6: Fit of pharmacokinetic model (curves) to reproduce total cefepime concentrations in serum and CSF (points and circles). Elimination half life of CSF compartment is Tcsf = ln2/kcsf = 1 hour. Time dependent levels in CSF were calculated for two lag times: tau = 0 (light curve) and tau = 1 h (heavy curve). Points: data published in Bristol Myers Squibb Cefepime Presciption Information. Circles: two samples taken on day 416, i.e. after 6 infusions of 2 g cefepime each, distance between infusions: 8 h, samples were drawn 5 h after last infusion. Upper circle: level in serum (19 mg/L, measurement error: 5 %), lower circle: level in CSF (0.75 mg/L, measurement error: < 10 %, detection limit: 0.1 mg/L). Samples courtesy of Dr. Patricia Coyle, Department of Neurology, State University of New York, Stony Brook, N.Y. 11794, USA. HPLC determination of levels in samples courtesy of Dr. Herman Mattie, Department of Infectious Diseases, Leiden University Medical Center, NL - 2300 RC Leiden, The Netherlands.
The model paramters used in the pharmacokinetic calculations are
where data from Bristol Myers Squibb have been printed in plain font, and the data from model fit shown in Fig. VIII. 5.6 in underlined font. Bold face values denote the conservative estimate.
Note that the tau = 1 case (heavy curve) results in a higher post peak concentration in the CSF as the tau = 0 case (light curve). The latter fit will thus be called a "conservative estimate".
Fig. VIII. 5.7 shows a fit of the data with the same values for TP = 2.0 h and cP(0) = 100 mg/L
Fig. VIII. 5.7: Fit of pharmacokinetic model (curves) to reproduce total cefepime concentrations in serum and CSF (points and circles). Elimination half life of CSF compartment is Tcsf = ln2/kcsf = 2 hours, otherwise data and notation as in Fig. VIII. 5.6.
Note that this fit of data results in a higher cefepime concentration in the CSF than the fit for TCSF = 1.0 h. The same is true for the tau = 1 h fit here as with the previous set of parameters (Figs. VIII.5. 6 and 7). Thus, the fit with
Fig. VIII. 5.8: Systematics of MIC90's for a range of antibiotics (horizontal axis) and gram negative bacilli. Vertical axis: logarithm of MIC, MIC measured in mg/L.Classification ("penicillin susceptible", etc) from Spangler 1997).
The beta-lactam antibiotics used in this systematics consist of one carbapenem (imipenem) and 4 cephalosporins. For the listed bacteria, the MIC of cefepime is generally more than a factor of 2 smaller than the MIC of the rest of the cephalosporins, an exception being Moraxella catarrhalis. The systematics shows that the data from Bristol-Myers Squibb and Preac-Mursic et al. are basically consistent.
In the following evaluations the MIC range (0.12 mg/L and 0.26 mg/L) provided by Bristol-Myers Squibb will be used. After these pharmacokinetic calculations had been finished, Dever et al. 1999 published the following value for Bb strain B31: MICB31 for cefepime = 1 mg/L.
![]() |
![]() |
Fig. VIII. 5.9: Cefepime concentrations in CSF for intravenous infusion of 2 g cefepime every 8 and 12 hours, respectively, calculated with the above given pharmacokinetic model and parameters. Shaded area: range of Minimum Inhibitory Concentration (MIC). Note that in July 1999 Dever et al. published a MIC value for Bb strain B31: MICB31 = 1 mg/L.
When 2 grams of cefepime are infused only every 12 hours, the concentration in the CSF falls below the range 0.26 ... 0.12 mg/L in which the Minimum Inhibitory Concentration for Bb is expected to lie. When the interval between infusions is 8 hours, the cefepime level stays well above that range.
Thus, in summary, infusion of 2 grams cefepime every 8 hours appears necessary in view of the scarcity of the available data.
![]() Figure VIII.5.4.1: Following a 200 mg dose of doxycycline monohydrate, 24 normal adult volunteers averaged these serum concentration values. Maximum concentration: 3.61 mg/L (± 0.9 sd), time of maximum concentration: 2.6 hr (± 1.10 sd), elimination rate constant: 0.049 per hr (± 0.030 sd), half-life: 16.33 hr (± 4.53 sd) Source: Monodox (Doxycycline) Drug Information: Clinical Pharmacology, Prescribing Information at RxList (2015) (in cache). |
![]() Fig. VIII.5.4.2: Ratio of CSF to serum concentrations of doxycycline and minocycline after multiple 100-mg oral doses given twice daily. Data from Macdonald H, Kelly RG, Allen S, Noble JF, Kanegis LA. Pharmacokinetic studies on minocycline in man. Clin Pharmacol Ther 1973;14:852-61. |

Dose:
Assuming a linear dose/concentration relationship, an intake of the 3 x 200 mg recommended by Burrascano would result in the following ranges of the mean CSF levels
Treatment duration:
Sam Donta has clearly shown that at least three months of therapy with the tetracyclines is needed to even begin an adequate response.
Of related interest:
Cunha Burke A., Minocycline versus Doxycycline in the Treatment of LymeNeuoborreliosis, Clin Infect Dis. (2000) 30 (1): 237-238. doi: 10.1086/313604 (cached)
Review and several examples of proven borrelia treatment failures on standard doxycycline dosage in
Lee J, Wormser GP., Pharmacodynamics of doxycycline for chemoprophylaxis of Lyme disease: preliminary findings and possible implications for other antimicrobials. Int J Antimicrob Agents. 2008 Mar;31(3):235-9.